Ingeniería y diseño inicial para unidad flotante para Dioriga Gas
Dioriga Gas confió en nosotros para la ingeniería de diseño y conceptual de un FEED (front-end engineering design) de una unidad flotante de almacenamiento y regasificación (FSRU) de una terminal de importación de gas natural licuado, el desarrollo de la obra marina y la planta de gas natural en tierra. En Sener realizamos un proyecto integrado en una obra de infraestructura marina (jetty y trestle) y a la obra de una planta de GN.
Desde Sener trabajamos en la ingeniería necesaria para el FEED, con la finalidad de comprobar la viabilidad técnica,
Dioriga Gas confió en nosotros para la ingeniería de diseño y conceptual de un FEED (front-end engineering design) de una unidad flotante de almacenamiento y regasificación (FSRU) de una terminal de importación de gas natural licuado, el desarrollo de la obra marina y la planta de gas natural en tierra. En Sener realizamos un proyecto integrado en una obra de infraestructura marina (jetty y trestle) y a la obra de una planta de GN.
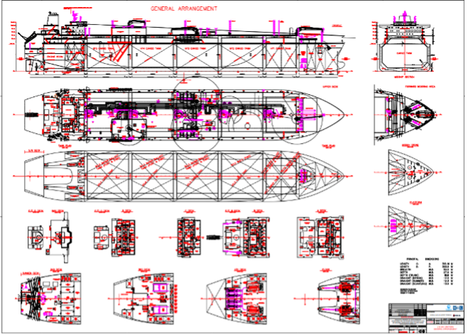
Desde Sener trabajamos en la ingeniería necesaria para el FEED, con la finalidad de comprobar la viabilidad técnica, económica, medioambiental y de seguridad. Diseñamos la adaptación de FSRU para que pueda combinarse como gas carrier. Nuestro objetivo fue la construcción de un buque tipo FSRU apto para el transporte de GNL y con capacidad de regasificación para el suministro de GN a la red terrestre.
Ventajas
- El diseño permite la operación como buque de transporte de LNG (LNGC) y como Unidad Flotante de Almacenamiento y Regasificación (FSRU)
- El diseño puede abastecer: gas a alta presión para la red de distribución terrestre, por medio de un jetty y de un trestle; además de la planta onshore; gas licuado para cargar camiones; y bunkering de GNL con la modalidad STS (ship to ship) a buques gaseros de pequeña escala.
- Posee 4 trenes de vaporización con capacidad de 125 MMSCFD a 12 MPa cada uno.
- Los FSRU de SENER son plantas de configuración flexible y modular, que se ofrecen en diferentes configuraciones para adaptarse a las demandas del cliente.
Eslora total | 315 m aprox. |
Eslora entre perpendiculares | 303 m |
Manga de trazado | 50 m |
Puntal de trazado | 27 m Calado de cubierta expuesta |
Calado de cubierta expuesta | 35,1 m |
Calado de diseño | 12 m |
Calado de verano | 12,3 m |
Calado de escantillonado | 13 m |
100% | 98,5 % | |
No. 1 tanque de carga | Aprox. 24,876 m3 | Aprox. 24,503 m3 |
No. 2 tanque de carga | 47,848 m3 | 47,130 m3 |
No. 3 tanque de carga | 47,831 m3 | 47,114 m3 |
No. 4 tanque de carga | 47,827 m3 | 47,110 m3 |
No. 5 tanque de carga | 47,853 m3 | 47,136 m3 |
Total tanque de carga | 216,235 m3 | 212,993 m3 |
Capacidad del tanque (100% lleno):
- MDO: aprox. 6,680 m3
- Agua dulce: aprox. 462 m3
- Tanques de lastre incluido el pique de proa: aprox. 69,312 m3
Consumo
- Todos los motores tendrán la capacidad de funcionar con dos tipos de combustibles, MDO y GNL.
Aplicaciones y usos
- Transporte de Gas Natural Licuado (LNGC) y unidad flotante de almacenamiento y regasificación.
- Abastecimiento al mercado de gas natural como fuente de energía desde lugares que no permiten la instalación de una planta de regasificación en tierra.
- Permite a los países importadores de gas diversificar las fuentes de aprovisionamiento, ayuda a que se mantenga independencia en materia energética.
- Son una respuesta rápida a un incremento de la demanda de gas en aquellas zonas geográficas que no disponen de sus propias infraestructuras de regasificación o en aquellos emplazamientos singulares que no permiten una solución onshore.
- Punto de regasificación a alta presión para red terrestre de distribución.
- Cargadero de camiones de gas.
- Punto de bunkering para buques de pequeña escala.










